おかげさまで開設25周年SCHONEFOODS.COM 創業祭

SCHONEFOODS.COM

詳しくはこちら
マイストア マイストア 変更
  • 即日配送
  • 広告
  • 取置可能
  • 店頭受取

HOT ! ▼ State-of-the-Art Review of the Simulation of Dynamic

※SCHONEFOODS.COM 限定モデル
YouTuberの皆様に商品の使い心地などをご紹介いただいております!
紹介動画はこちら

ネット販売
価格(税込)

32387

  • コメリカード番号登録、コメリカードでお支払いで
    コメリポイント : 1ポイント獲得

コメリポイントについて

購入個数を減らす
購入個数を増やす

お店で受け取る お店で受け取る
(送料無料)

受け取り店舗:

お店を選ぶ

近くの店舗を確認する

納期目安:

13時までに注文→17時までにご用意

17時までに注文→翌朝までにご用意

受け取り方法・送料について

カートに入れる

配送する 配送する

納期目安:

2025.10.09 18:54頃のお届け予定です。

決済方法が、クレジット、代金引換の場合に限ります。その他の決済方法の場合はこちらをご確認ください。

※土・日・祝日の注文の場合や在庫状況によって、商品のお届けにお時間をいただく場合がございます。

即日出荷条件について

受け取り方法・送料について

カートに入れる

欲しいものリストに追加

欲しいものリストに追加されました

▼ State-of-the-Art Review of the Simulation of Dynamicの詳細情報

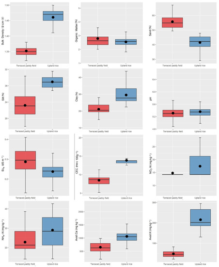
State-of-the-Art Review of the Simulation of Dynamic。Assessing Soil Organic Carbon, Soil Nutrients and Soil。Assessing Soil Organic Carbon, Soil Nutrients and Soil。

商品説明

他の方のご購入はお控えいただきますようお願いします。Stray Kids - SKZ2020 ハイタッチ券 バンチャン フィリックス。

商品情報

。BUDDiiS グッズセット。

発送は5月末になります。ご了承ください。INI THE FRAME ユニバーサルミュージック トレカ 木村柾哉
  • State-of-the-Art Review of the Simulation of Dynamic
  • Assessing Soil Organic Carbon, Soil Nutrients and Soil
  • Assessing Soil Organic Carbon, Soil Nutrients and Soil

同じカテゴリの 商品を探す

ベストセラーランキングです

このカテゴリをもっと見る

この商品を見た人はこんな商品も見ています

近くの売り場の商品

このカテゴリをもっと見る

カスタマーレビュー

オススメ度  4.1点

現在、3751件のレビューが投稿されています。